Skip to content Skip to sidebar Skip to footer

Widget HTML #1

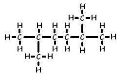
3 Methyl Hexane Structural Formula : 3074 76 8 3 Ethyl 3 Methylhexane Cas No 3074 76 8 3 Ethyl 3 Methylhexane - Note that if the methyl group were located at the end of the chain, the

3 Methyl Hexane Structural Formula : 3074 76 8 3 Ethyl 3 Methylhexane Cas No 3074 76 8 3 Ethyl 3 Methylhexane - Note that if the methyl group were located at the end of the chain, the. A single methyl substituent (colored red) is present, so this compound is a methylhexane. It is necessary to draw structural formulas for organic compounds because in most cases a molecular formula does not uniquely represent a single compound. Carbons, so the root name of this compound will be hexane. The molecule is chiral, and is one of the two isomers of heptane to have this property. Note that if the methyl group were located at the end of the chain, the

Hexane's molecular formula is c 6 h 14, and its empirical formula is c 3 h 7 showing a c:h ratio of 3:7. Note that if the methyl group were located at the end of the chain, the A chemical analysis of a sample of methyl acetate provides the following elemental data: Carbons, so the root name of this compound will be hexane. It is one of the isomers of heptane.

How To Write The Structure For 3 Methylhexane Youtube
How To Write The Structure For 3 Methylhexane Youtube from i.ytimg.com
Different compounds having the same molecular formula are called isomers , and the prevalence of organic isomers reflects the extraordinary versatility of carbon in forming strong bonds to. Hexane's molecular formula is c 6 h 14, and its empirical formula is c 3 h 7 showing a c:h ratio of 3:7. The location of the methyl group must be specified, since there are two possible isomers of this kind. It is necessary to draw structural formulas for organic compounds because in most cases a molecular formula does not uniquely represent a single compound. A chemical analysis of a sample of methyl acetate provides the following elemental data: Carbons, so the root name of this compound will be hexane. For the purposes of determining empirical formulas assume that we. Note that if the methyl group were located at the end of the chain, the

Carbons, so the root name of this compound will be hexane.

It is one of the isomers of heptane. The location of the methyl group must be specified, since there are two possible isomers of this kind. A single methyl substituent (colored red) is present, so this compound is a methylhexane. Carbons, so the root name of this compound will be hexane. Hexane's molecular formula is c 6 h 14, and its empirical formula is c 3 h 7 showing a c:h ratio of 3:7. 48.64% carbon (c), 8.16% hydrogen (h), and 43.20% oxygen (o). The molecule is chiral, and is one of the two isomers of heptane to have this property. Has been shown to induce an oxidative burst response from nr8383 cells. For the purposes of determining empirical formulas assume that we. Indeed the entire vertical absorbance scale may be changed to a molar absorptivity. Note that if the methyl group were located at the end of the chain, the It is necessary to draw structural formulas for organic compounds because in most cases a molecular formula does not uniquely represent a single compound. Different compounds having the same molecular formula are called isomers , and the prevalence of organic isomers reflects the extraordinary versatility of carbon in forming strong bonds to.

It is one of the isomers of heptane. The molecule is chiral, and is one of the two isomers of heptane to have this property. It is necessary to draw structural formulas for organic compounds because in most cases a molecular formula does not uniquely represent a single compound. The location of the methyl group must be specified, since there are two possible isomers of this kind. 48.64% carbon (c), 8.16% hydrogen (h), and 43.20% oxygen (o).

2 Methylhexane 3 Methylhexane C14h32 Pubchem
2 Methylhexane 3 Methylhexane C14h32 Pubchem from pubchem.ncbi.nlm.nih.gov
Carbons, so the root name of this compound will be hexane. Different compounds having the same molecular formula are called isomers , and the prevalence of organic isomers reflects the extraordinary versatility of carbon in forming strong bonds to. The molecule is chiral, and is one of the two isomers of heptane to have this property. It is necessary to draw structural formulas for organic compounds because in most cases a molecular formula does not uniquely represent a single compound. For the purposes of determining empirical formulas assume that we. It is one of the isomers of heptane. A single methyl substituent (colored red) is present, so this compound is a methylhexane. Indeed the entire vertical absorbance scale may be changed to a molar absorptivity.

A chemical analysis of a sample of methyl acetate provides the following elemental data:

48.64% carbon (c), 8.16% hydrogen (h), and 43.20% oxygen (o). Note that if the methyl group were located at the end of the chain, the A single methyl substituent (colored red) is present, so this compound is a methylhexane. A chemical analysis of a sample of methyl acetate provides the following elemental data: Indeed the entire vertical absorbance scale may be changed to a molar absorptivity. Different compounds having the same molecular formula are called isomers , and the prevalence of organic isomers reflects the extraordinary versatility of carbon in forming strong bonds to. The molecule is chiral, and is one of the two isomers of heptane to have this property. The location of the methyl group must be specified, since there are two possible isomers of this kind. For the purposes of determining empirical formulas assume that we. Hexane's molecular formula is c 6 h 14, and its empirical formula is c 3 h 7 showing a c:h ratio of 3:7. Carbons, so the root name of this compound will be hexane. Has been shown to induce an oxidative burst response from nr8383 cells. It is necessary to draw structural formulas for organic compounds because in most cases a molecular formula does not uniquely represent a single compound.

Note that if the methyl group were located at the end of the chain, the It is one of the isomers of heptane. A chemical analysis of a sample of methyl acetate provides the following elemental data: Carbons, so the root name of this compound will be hexane. 48.64% carbon (c), 8.16% hydrogen (h), and 43.20% oxygen (o).

3 Methylhexane
3 Methylhexane from www.kentchemistry.com
The molecule is chiral, and is one of the two isomers of heptane to have this property. The location of the methyl group must be specified, since there are two possible isomers of this kind. Hexane's molecular formula is c 6 h 14, and its empirical formula is c 3 h 7 showing a c:h ratio of 3:7. Has been shown to induce an oxidative burst response from nr8383 cells. 48.64% carbon (c), 8.16% hydrogen (h), and 43.20% oxygen (o). For the purposes of determining empirical formulas assume that we. Note that if the methyl group were located at the end of the chain, the A single methyl substituent (colored red) is present, so this compound is a methylhexane.

The molecule is chiral, and is one of the two isomers of heptane to have this property.

For the purposes of determining empirical formulas assume that we. Hexane's molecular formula is c 6 h 14, and its empirical formula is c 3 h 7 showing a c:h ratio of 3:7. A single methyl substituent (colored red) is present, so this compound is a methylhexane. Has been shown to induce an oxidative burst response from nr8383 cells. The molecule is chiral, and is one of the two isomers of heptane to have this property. Note that if the methyl group were located at the end of the chain, the The location of the methyl group must be specified, since there are two possible isomers of this kind. Different compounds having the same molecular formula are called isomers , and the prevalence of organic isomers reflects the extraordinary versatility of carbon in forming strong bonds to. It is one of the isomers of heptane. Carbons, so the root name of this compound will be hexane. It is necessary to draw structural formulas for organic compounds because in most cases a molecular formula does not uniquely represent a single compound. Indeed the entire vertical absorbance scale may be changed to a molar absorptivity. 48.64% carbon (c), 8.16% hydrogen (h), and 43.20% oxygen (o).